Universidad Latina de México*
Universidad de Guanajuato**
El propósito del presente artículo es exponer las nociones cardinales del Análisis Factorial (AF), técnica estadística ampliamente difundida como proceso de validación y de análisis de las propiedades psicométricas de los instrumentos de medición empleados en la investigación cuantitativa. Este estadístico es de gran utilidad en la medición, investigación y evaluación en la psicología, por lo que se plantea una descripción e introducción conceptual sobre qué es y para qué sirve.
Los conceptos esenciales de la exposición se centran en el nexo entre el primer supuesto de la Teoría Clásica de los Test (TCT) y el AF; así, más que plantear los procesos de factorización, se aboga por exponer la lógica del AF y su vínculo con la TCT. Si se desea comprender los pasos estadísticos que se emplean para la implementación de esta técnica estadística se pueden consultar los trabajos de Ferrando et al. (2022), López-Aguado y Gutiérrez-Provecho (2019), Ledesma et al. (2018), Lloret-Segura et al. (2014), y Méndez y Rondón (2012).
Después de plantear el nexo entre la TCT y el AF, el trabajo se orienta a la comprensión de la noción de factor común o comunalidad, dando algunos ejemplos que faciliten la comprensión de estas concepciones y que asimismo ofrezcan una topografía de interpretación de las matrices factoriales comunes en los artículos de investigación científica de validación de instrumentos. Además, la exposición del AF se realiza con el apoyo de un ejemplo, utilizando el análisis del Inventario de Personalidad HEXACO de 60 ítems o IP-HEXACO-60 (Lee & Ashton, 2012) que el autor ha adaptado para población regional mexicana y que puede fungir como caso de estudio en la operacionalización del AF.
¿Qué es el Análisis Factorial?
El AF es una herramienta para evaluar la dimensionalidad y la estructura de los test psicológicos con la finalidad de mejorar sus propiedades psicométricas que indican que se puede confiar en las puntuaciones de la prueba y que son válidas las mediciones (Ferrando et al., 2022; Santisteban, 2009). En su acepción más técnica, es un estadístico multivariante de reducción de dimensiones subyacentes a un conjunto de variables que poseen niveles de medición cuantitativo o numérico (Yela, 1967). Se considera un estadístico multivariante —y no bivariado— porque explora un conjunto amplio de variables (ítems o reactivos) que no tienen dirección funcional de causa y efecto que haya sido expuesta en los planteamientos teóricos (Véliz, 2017); proporciona información rica y relevante sobre los patrones emergentes en la estructura de las variables implicadas y los datos analizados. El AF tiene como punto de partida el análisis de las matrices de correlación entre las variables (Domínguez, 2014), sin embargo, tiene como objetivo el análisis de la matriz de factores comunes que emerge a un conjunto de variables (Abad et al., 2010; Thurstone, 1934), es en estas últimas donde se fijará la atención en el presente trabajo.
El AF es de relevancia metodológica en la investigación en psicología y disciplinas afines debido a que esta técnica se implementa como estrategia de verificación de la idoneidad de los instrumentos de medición cuando se evalúa un constructo teórico (Santisteban, 2009), con frecuencia se utiliza en procesos de validez de constructo en las fases de análisis de la prueba piloto de los test (Muñiz & Fonseca-Pedrero, 2019). En síntesis, es una prueba estadística que tiene el propósito de evaluar la validez de los test psicológicos, se suele realizar cuando se aplica el test en prueba piloto y se analizan los ítems o reactivos a través de esta técnica, sus principales ventajas son: 1) la verificación de la validez de constructo de los instrumentos diseñados, traducidos o adaptados para alguna región, 2) la exploración de las dimensiones o factores del constructo emergentes tras la evidencia, 3) la identificación de las propiedades psicométricas de los ítems y del test en general y, 4) la constitución de un instrumento idóneo para la investigación o evaluación de constructos psicológicos.
El AF es una técnica de reducción de dimensiones, pero ¿qué significa esto? Para dar respuesta es necesario profundizar en el tema de las relaciones entre constructo, dimensiones o factores, y variables. En el campo de la psicología, a los conceptos que se emplean para describir fenómenos bajo observación se les denomina constructos (Irwing & Hughes, 2020; Martínez, 2005), por ejemplo: la personalidad, la inteligencia, el clima laboral, el bienestar subjetivo, los estilos de afrontamiento, el locus de control, los estilos parentales, el rendimiento académico, entre otros. Un constructo tiene dos definiciones, una constitutiva y otra operacional, la primera emplea descripciones de “diccionario” y para ello se emplea una teoría que sostenga esta definición; por su parte, la definición operacional brinda significado a partir de especificar hechos o supuestos concretos, es decir, aspectos de la conducta, tal como actividades, operaciones mentales o valoraciones personales que son observables, medibles bajo algunas reglas de asignación numérica (Kerlinger & Lee, 2002). Por ejemplo, se puede tomar el constructo personalidad y ubicar una teoría en psicología que ayude a definirla, como es el caso de la teoría de los cinco grandes factores de la personalidad, que la definirían como una disposición general del comportamiento ante el entorno social de una persona (Lee & Ashton, 2012); no obstante, cuando se considera la definición operacional, el constructo se hace observable, puesto que emplea actividades concretas, observables y cuantificables para medirlo; si la personalidad es -constitutivamente hablando- una disposición general del comportamiento de una persona, entonces, podría preguntar sobre su disposición para actividades específicas: ¿cuál es tu disposición hacia una exposición de arte? ¿prefieres las reuniones sociales con mucha gente o sólo reuniones íntimas con personas muy allegadas? ¿qué tan probable es que le hagas un favor a un desconocido? De esta manera, las disposiciones generales del comportamiento se tornan observables a partir de la definición operacional de un constructo como la personalidad.
Cuando se pregunta por diferentes disposiciones de la personalidad o por cualquier otro constructo en psicología, pueden emerger grupos o conjuntos de estas actividades observables, entonces, se puede hablar de dimensiones de un constructo. La teoría de los cinco grandes, ha identificado cinco rasgos de personalidad, que son: neuroticismo, extraversión, afabilidad, responsabilidad y apertura a la experiencia, cada una de estas dimensiones o factores es al mismo tiempo un constructo que contiene su definición constitutiva y operacional (Caprara et al., 1998; Digman, 1990; John, 1990).
Si consideramos la extraversión como un factor de la personalidad, quizás esta dimensión pueda observarse de múltiples formas en el comportamiento humano, por ejemplo, a través de conductas como la sociabilidad, ser dinámico, ser parlanchín, activo, seguro de sí, confidente, orientado hacia el exterior, vitalidad, y más. Si se preguntara a un grupo de sujetos ¿qué tanto estos rasgos de personalidad se ajustan o no a la manera en que es cada individuo? Se podría encontrar una asociación entre estos rasgos psicológicos. En este caso, la función del análisis factorial es realizar la siguiente pregunta ¿Cuál es el menor número de dimensiones en las que pueden agruparse un conjunto de variables? (Yela, 1967). Es decir, en términos del rasgo de extraversión que se está empleando, ¿A cuántas dimensiones se pueden reducir los rasgos de sociabilidad, dinamismo, seguridad, vitalismo, etc? La respuesta del AF indicaría que se pueden reducir o factorizar a su mínima expresión en una sola dimensión llamada Extraversión.
La pregunta sobre las dimensiones mínimas responde a la definición del AF como técnica de reducción de dimensiones (Revuelta & Ponsoda, 2005; Zamora et al., 2010). Como en otros procesos matemáticos de factorización, se muestra la reducción de la complejidad, tal como en una fracción numérica donde se busca encontrar la expresión mínima para exponer un valor, por ejemplo, la fracción 28/14 que presenta cierto nivel de complejidad numérica, puede factorizarse a 14/7, y aún más, puede reducirse al número entero 2; en este sentido, el proceso de factorización reduce la complejidad y dimensionalidad de la primera fracción. Este proceso es homólogo en la técnica del AF, pero en vez de factorizar fracciones, se suelen emplear muestras de comportamientos, actividades, preguntas, reactivos o escalas de medida. Siempre que se tenga un conjunto de variables, éste se puede reducir —por inducción— a un número más pequeño de dimensiones, todo dependerá de los constructos que se estén analizando y de su naturaleza.
Por último, el AF suele trabajar con variables ordinales (cuasicuantitativas) o escalares (cuantitativas) que puedan agruparse en un conjunto bajo el supuesto de que todas estas variables tienen uno o varios factores comunes (Lloret-Segura et al., 2014). Como se verá a continuación, la noción de factor común será imprescindible para comprender esta técnica estadística (Spearman, 1904; 1955). Por último, en la sección final del trabajo se realizarán las señalizaciones adecuadas para los dos tipos de AF que existen, el Análisis Factorial Exploratorio (AFE) y el Análisis Factorial Confirmatorio (AFC), en la exposición subsecuente solo se hablará de AF aunque la mayoría de procedimientos pertenece al AFE, sólo los diagramas de senderos (Figura 1) son propios del AFC.
El supuesto del factor común
La idea de factor común es de vital importancia para comprender la técnica del AF (Spearman, 1904). Esta noción supone que un conjunto de variables o reactivos se correlaciona fuertemente debido a la existencia de un factor que es común a todas las variables, y dado este “común denominador” se muestran correlaciones importantes entre las variables que se encuentran en observación. Para ejemplificar el factor común se puede imaginar a un candidato que está por responder una prueba psicométrica sobre rasgos de personalidad como parte de los requisitos para ingresar a un centro de trabajo; cuando el candidato responde la prueba pondrá en evaluación su disposición de comportamientos y actitudes; sin embargo, los comportamientos que pone a prueba no se expresan de forma objetiva ni integrada durante el examen, sino se infieren. Para conocer el nivel en el que se ubica el rasgo de honestidad y humildad del candidato (por mencionar un factor de los seis rasgos del inventario HEXACO de Personalidad), es necesario un análisis pormenorizado de sus componentes. Para llevar a cabo esta tarea es preciso distinguir características o dimensiones del rasgo de honestidad, tal es el caso de algunas facetas de este constructo, tales como la sinceridad, justicia, evitación de la codicia y la modestia, cuatro componentes relevantes a la hora de medir el factor H (honestidad y humildad) como rasgo de la personalidad (Lee & Ashton, 2012). Así, el factor común que emerge a estas cuatro evaluaciones es el rasgo de honestidad-humildad, este gran dominio sólo se hace patente al integrar los resultados de los cuatro componentes en el factor común, el puntaje final de la prueba es una medida integrativa que da testimonio sobre los distintos componentes que constituyen la prueba y ofrece un modelo de operacionalizar un atributo psicológico aparentemente intangible (Abad et al., 2010).
Los factores comunes, en este caso, el factor de honestidad y humildad de la personalidad explica las correlaciones entre las variables (sinceridad, justicia, evitación de la codicia y la modestia) y determina la importancia de cada variable para el factor. Así, un modelo de AF se constituye por tres elementos principales: la variable latente o factor común, las variables observables o mediciones y, las relaciones entre los factores y las variables, a este parámetro de relaciones se le denomina peso o saturación factorial y se identifica por la letra griega lambda (λ).
Figura 1
Diagrama de senderos de la estructura unifactorial del factor H del HEXACO.

Nota: Las cuatro variables observables (Sinceridad, Justicia, Evitar la codicia y Modestia) son variables previamente integradas a partir de los reactivos de la escala, son facetas o subescalas. Se advierte que la variable latente implica el factor, las variables observadas se representan por X y la saturación o pesos factoriales (λ) se representan por los “senderos” o flechas del diagrama.
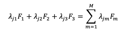
En el AF, al igual que en otras técnicas estadísticas, su función, componentes y procedimientos elementales se definen matemáticamente por medio de una ecuación que describe someramente el supuesto estadístico (la ecuación 1 del AF se presenta y describe en la Tabla 1). En esta ecuación,
Para el modelo que se ha planteado sobre el factor H de la personalidad con cuatro variables observables: sinceridad, justicia, evitación de la codicia y la modestia, cada una de estas variables representa una Xj, de esta manera, se tendrían cuatro ecuaciones distintas, una por cada variable observable implicada en el modelo de medida, este proceso se esclarecerá más adelante con la Ecuación 3.
Los pesos factoriales (
En los modelos unidimensionales o unifactoriales (que fue el tipo de análisis factorial planteado por Charles Spearman), sólo existe un factor común, por esta razón, todas las variables observables saturan en el mismo factor. En el caso en que se presente un modelo multidimensional o multifactorial (el tipo de análisis desarrollado por Louis Thurstone), el path diagram o diagrama de senderos mostraría dos o más elipses que representan las variables latentes. Este tema será revisado en el apartado de multidimensionalidad.
La Ecuación 1 del AF asume una medida de error o llamado de manera más amplia unicidad (
En síntesis, la ecuación y los conceptos fundamentales del AF son una forma de llevar a la práctica el primer supuesto y axioma de la TCT, el cual se plantea en la Ecuación 2 (Tabla 1), donde
Tabla 1 Equivalencias entre los supuestos de la TCT y el AF |
| |||||
Ecuaciones | Descripción |
| ||||
= | + | Ecuación fundamental del AF | (1) | |||
= | + | 1er. Supuesto y axioma de la TCT | (2) | |||
Los supuestos de dimensionalidad del AF
Existen dos tipos de AF en función de sus supuestos o hipótesis. Muchos de los investigadores que emplean esta técnica podrían cuestionarse ¿cómo formular hipótesis en un proceso analítico que es exploratorio? Y el planteamiento es válido, sin embargo, la idea que sustenta el empleo de hipótesis del AF es que, se presume que un instrumento de medición tiene una estructura teórica que emergerá como dimensiones o factores cuando se lleve a cabo el análisis estadístico con datos; es por esta razón que se plantean hipótesis en estos modelos, aunque en los casos exploratorios sean menos restrictivas (Lloret-Segura et al., 2014).
Se puede dividir el AF por sus supuestos como modelos unidimensionales o multidimensionales. En el primer caso se pregunta ¿este conjunto de variables puede reducirse a un solo constructo? Como en el caso del ejemplo del factor H, el dominio honestidad-humildad de la personalidad como factor general, representa este tipo de modelos. Pero ¿cómo se vería esta misma prueba bajo el lente de la multidimensionalidad? en este caso se plantea ¿cuál es el número mínimo de factores que pueden extraerse del conjunto de variables? el diagrama de este modelo presentaría por lo menos dos variables latentes representadas por elipses correlacionadas (Figura 2).
Figura 2
Diagrama de senderos o path diagram del factor H del IP-HEXACO-60

Nota: Se muestra la estructura del AF de 1er. Orden, pues se identifica cada uno de los ítems con los cuatro factores latentes que representan las subescalas del factor H. Entre las variables latentes (elipses) se advierten flechas curvas bidireccionales que plantean la “covariación” entre estos factores.
Es importante advertir que tanto las representaciones unidimensionales como las multidimensionales pueden ser vistas como dos procesos distintos de un mismo análisis, dado el ejemplo del factor H, el modelo multidimensional puede denominarse AF de primer orden, debido a que las variables observables son los reactivos que los sujetos responden en una prueba, mientras que, las variables latentes son los cuatro componentes que definen la honestidad (Figura 2). Por su parte, el diagrama del factor H que es un modelo unidimensional, es un AF de segundo orden (Figura 1), debido a que podría llevarse a cabo después de la constatación del primer AF, las variables que antes eran latentes en la versión multidimensional se objetivan en el segundo AF, pasando a ser variables observables en un modelo más amplio (Rummel, 1970).
El modelo multidimensional o multifactorial
La estructura factorial del modelo multidimensional o multifactorial fue propuesta por Louis L. Thurstone (1934). Si se representa el AF por medio de un diagrama de senderos se tendrá una estructura muy semejante a la Figura 2, con un total de 10 variables observables agrupadas en cuatro subescalas o variables latentes correspondientes al Factor H. El supuesto de este diagrama plantea que cada una de las variables observables tiene saturaciones elevadas para alguno de los factores más que para otros, por esto se suele representar esta saturación factorial por medio de una flecha desde la variable latente a las variables observables (Batista & Coenders, 2012). También puede apreciarse en este diagrama el supuesto de correlaciones o covariaciones que existe entre las variables latentes, esta asociación se expresa en las flechas bidireccionales a la izquierda del modelo (Figura 2). Como se ha mencionado, las ecuaciones simultaneas del AF pueden identificarse con el diagrama, las ecuaciones representan cada una de las 10 variables observables o ítems del modelo multidimensional. Para comprender por qué esta ecuación constituye cada una de las 10 variables observables del modelo, se analiza la lógica detrás de estas 10 ecuaciones que definen el modelo de medida de la Figura 2 (Poncho Enseña, 2021; 2022a). Inicialmente, el diagrama de senderos se representa por medio de una matriz factorial (Tabla 2).
En la primera columna de la Tabla 2 se presentan las 10 variables observables o ítems Xj que constituyen las cuatro subescalas de la prueba del Factor H, después de esta columna se siguen otras cuatro que representan los factores que suponen las variables latentes: sinceridad, justicia, evitación de la codicia y modestia. Si se considera que los ítems i6, i12, i18 pertenecen al Factor 1: Sinceridad, entonces la saturación será elevada para ese factor, ideal o hipotéticamente representada por el valor 1, por esta razón se pensaría que la saturación en otros factores tiende a ser baja o nula, representada por el valor cero en los tres factores subsecuentes del mismo ítem (Abad et al., 2010). Este mismo sentido adquiere los nueve ítems restantes, el valor 1 se encuentra verticalmente ubicado en el factor al que pertenece cada ítem. La tabla de matriz factorial suele ser propia del Análisis Factorial Exploratorio, mientras tanto, el diagrama de senderos es la representación propia del Análisis Factorial Confirmatorio (Méndez & Rondón, 2012), no obstante, en ambos casos se puede presentar en notación matricial (Poncho Enseña, 2022b, 14:23). Las distinciones entre la versión exploratoria y confirmatoria del AF se explicarán en la siguiente sección.
Tabla 2 Matriz factorial ideal* para el factor H de la Personalidad | ||||
Ítems | Factores | |||
F1 | F2 | F3 | F4 | |
6 | 1 | 0 | 0 | 0 |
12 | 0 | 1 | 0 | 0 |
18 | 0 | 0 | 1 | 0 |
24 | 0 | 0 | 0 | 1 |
30 | 1 | 0 | 0 | 0 |
36 | 0 | 1 | 0 | 0 |
42 | 0 | 0 | 1 | 0 |
48 | 0 | 0 | 0 | 1 |
54 | 1 | 0 | 0 | 0 |
60 | 0 | 1 | 0 | 0 |
* Ideal es sinónimo de hipotética o teórica F1 = Sinceridad, F2 = Justicia, F3 = Evitar la codicia, F4 = Modestia. | ||||
La matriz de factores de la Tabla 2 luciría diferente si se tratara de una matriz empírica, pues ya ha pasado la prueba con datos y quizás presentará modificaciones respecto a su versión hipotética. En la versión empírica, las saturaciones factoriales oscilarán entre cero y uno, donde la saturación más elevada indica el factor de pertenencia del ítem. La Tabla 3 muestra un ejemplo de matriz factorial cuando se ha explorado el factor H con datos.
Tabla 3 Matriz factorial empírica para el factor H de personalidad | ||||
Ítems | Factores | |||
F1 | F2 | F3 | ||
6 | 0.364 | 0.000 | 0.187 | 0.167 |
12 | 0.357 | 0.044 | 0.030 | 0.130 |
18 | -0.020 | 0.471 | 0.126 | 0.238 |
24 | 0.380 | -0.164 | 0.431 | 0.357 |
30 | 0.435 | 0.136 | 0.155 | 0.232 |
36 | 0.321 | 0.163 | 0.206 | 0.172 |
42 | 0.123 | 0.791 | -0.060 | 0.644 |
48 | 0.218 | 0.222 | 0.648 | 0.516 |
54 | 0.222 | 0.023 | 0.180 | 0.082 |
60 | 0.567 | -0.100 | 0.165 | 0.359 |
Nota: Los valores en negrita representan la saturación (λjm) más elevada de cada ítem para el factor.
| ||||
La primera diferencia de la Tabla 3 es que sólo presenta tres factores y no cuatro como se planteó en su versión hipotética (Tabla 2), esta diferencia responde al ajuste de la hipótesis de dimensionalidad de cuatro factores al resultado empírico de tres factores, la diferencia no es mucha entre la hipótesis y la evidencia, los cambios entre ambas matrices responden a la adaptación cultural de la prueba (Zamora et al., 2010). La segunda diferencia es una columna a la derecha con el encabezado
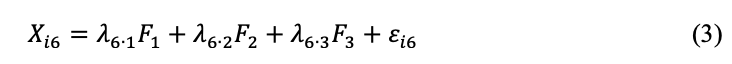
En el análisis de la matriz factorial empírica es posible descifrar el sentido de la ecuación del AFE. En el caso de la variable observable i6 o Xi6, se tienen tres pesos factoriales, uno por cada factor implicado en el modelo; sin embargo, en el primero (F1) se expone la saturación más elevada (λi6 = 0.364), que no es superado por ningún otro valor de la fila. La ecuación del AFE se presenta para cada una de las variables observables, así, el i6 con tres saturaciones más un error de medida puede plantearse con la Ecuación 3, el mismo caso aplica para el resto de las variables observables.

El modelo de tres factores y 10 variables observables se define por 10 ecuaciones, cada una de ellas ubicada en una fila del espacio matricial del modelo (Tabla 3), y cada una de ellas con posibilidad de sintetizarse en la ecuación fundamental del AFE (Ecuación 1), puesto que:

Si se sustituyen todos los valores lambda (

En esta sustitución entra en juego un concepto importante para el AF: las comunalidades, la proporción de varianza de Xj explicada por los factores comunes (Abad et al., 2010; Martínez, 2005; Yela, 1967). Este valor se extrae de la suma de los cuadrados de las saturaciones factoriales, en el caso de Xi6:

Se obtiene
Para entender la noción de comunalidad, se debe comprender su noción opuesta: la unicidad, parámetro representado por la letra griega que expresa la singularidad de la vida psíquica (ψ) y con ello busca dar un mensaje, existe una parte de la psique humana que no es accesible con modelos formales y es importante reconocerlo siempre que se emplean los análisis psicométricos (Martínez, 2005). Teniendo en cuenta esta advertencia, se puede definir matemáticamente la unicidad:

Con la definición de la Ecuación 4 se identifica el valor de unicidad que no es asequible por la subescala o variable observable, esta demarcación matemática corresponde a su definición estadística, la varianza específica o error de medida en una prueba, que indica la varianza de la variable observable (Xj) que no se puede atribuir a los factores comunes (Abad et al., 2010). En el ejemplo del Xi6 se obtendría el siguiente valor de unicidad:

Un ítem con
En síntesis, en el AF, es relevante un análisis pormenorizado de la matriz factorial o del diagrama de senderos, donde se evalúe el ajuste de los ítems o variables observables a los factores, este proceso se realiza al analizar la saturación factorial (
Tipos de Análisis Factorial
El AF es un concepto estadístico que integra dos tipos de modelado multivariante bajo la misma noción, se refiere al Análisis Factorial Exploratorio (AFE) y el Análisis Factorial Confirmatorio (AFC) (Méndez & Rondón, 2012). Aunque representan dos técnicas conceptualmente relacionadas, puesto que primero se exploran los factores y posteriormente se confirman, en términos matemáticos son dos procedimientos estadísticos diferentes, sólo comparten el nombre debido a su vínculo conceptual y operacional en el proceso de validez de constructo de los instrumentos de medición psicológica (Ferrando & Anguiano-Carrasco, 2010).
El AFE busca, como dice su nombre, explorar las dimensiones emergentes en un conjunto de variables. Habitualmente la presentación de los resultados estadísticos de esta técnica se muestra en informes de investigación, artículos o libros académicos a través de una tabla que expresa la matriz factorial de relaciones entre los reactivos de un instrumento y los factores subyacentes en la exploración, como ejemplos pueden consultarse los trabajos de Jiménez y Romero (2021), y en López et al. (2020). Por otra parte, el AFC se lleva a cabo en un segundo momento del proceso de investigación, cuando ya se ha explorado la estructura del instrumento o prueba psicométrica, en esta etapa se busca verificar el constructo inicial teórico y explorado en el análisis anterior con AFE. La versión confirmatoria del análisis factorial suele presentarse en las comunicaciones científicas a manera de diagramas de senderos o path diagrams y es un tipo específico de modelo de ecuaciones estructurales (Bagozzi & Yi, 2012; Batista & Coenders, 2012; Kline, 2016). Algunos ejemplos de uso del AFC se pueden revisar en Trillo y Esparza (2020), y en Chávez-Valdez et al. (2021).
Comentario final
El AF es una técnica multivariante que tiene como propósito la reducción o extracción de dimensiones de un conjunto de variables que suponen interdependencia (Revuelta & Ponsoda, 2005; Véliz, 2017). Esta técnica es preponderante en el marco de investigación psicosocial, en salud, educación y muchos otros campos (Yela, 1967); en especial, su uso ha sido proficiente como medida de validez de constructo (Martínez, 2005), facilitando la identificación de variables latentes que emergen a un conjunto amplio de variables observables, y convertirlas en dimensiones que se expresen en variables cuantitativas de intervalo, lo que constituye más información en un menor número de variables.
Exponer una revisión sobre los supuestos teóricos y procedimentales sobre el AF debe tener como objetivo fomentar el uso correcto de la técnica y la adecuada toma de decisiones en la construcción y adaptación de un test (Ferrando et al., 2022). Para llevar a cabo esta meta, en el presente artículo se expuso la definición más general de esta técnica de análisis, se mencionaron los dos tipos que existen: el exploratorio y el confirmatorio, señalaron los supuestos matemáticos que figuran en la técnica y su caracterización cuando se presenta en su versión unidimensional y multidimensional. También se exploraron las formas en que se interpreta la matriz factorial empírica, su relación con la versión hipotética, así como la identificación de la saturación factorial, comunalidad, unicidad y los factores que emergen de esta prueba.
Entender esta técnica, sus fundamentos teórico-matemáticos y bases epistemológicas en la medición es una revisión obligada para el avance de la psicometría y de la evaluación de validez y confiabilidad en los instrumentos de medición, por ello se debe reafirmar su enseñanza y aprendizaje en el pregrado en carreras profesionales de psicología y ciencias del comportamiento, así como es relevante en múltiples posgrados del campo de la salud, educación, ciencias sociales, económico-administrativas y demás. Si se desea entrar al campo de la psicometría es necesario seguir la recomendación que realiza Alfonso Álvarez Villar en el prólogo a la edición en castellano del libro Fundamentos de la exploración psicológica de Lee Cronbach (1963): Hoy es cada día más difícil ser psicómetra, quien tome este sendero descubrirá que la psicometría es un oficio difícil, “para el que se requiere el espaldarazo de las Matemáticas y de la Psicología experimental en todas sus ramas teóricas y aplicadas. No entre, pues, en ella quien no tenga la cabeza templada y el corazón caliente” (Álvarez en Cronbach, 1963, p. 18).
Agradecimientos
Quiero expresar mi gratitud a las personas que me han motivado a desarrollar el presente trabajo, me refiero a los estudiantes de la Licenciatura en Psicología, en especial a los grupos de la asignatura de Teoría de la Medida, del 3er. semestre de tronco común de la Facultad de Psicología de la Universidad Latina de México, y al grupo 200A de la Licenciatura en Psicología Clínica de la División de Ciencias de la Salud e Ingenierías de la Universidad de Guanajuato campus Celaya-Salvatierra; a todos ellos, gracias.
Alfonso Méndez. Correo electrónico: psicognición@gmail.com ORCID: 0000-0002-1659-7206.
*Av. Universidad Latina de México, Fraccionamiento San José de Torres s/n, Celaya Guanajuato, México, C.P. 38085; Teléfono: (461) 6134385, ext. 114.